5.2 NUCLEO E IMAGEN DE UNA TRANSFORMACION LINEAL
NUCLEO E IMAGEN DE UNA TRANSFORMACION LINEAL
Por este medio quiero dar a entender y que conozcan los conceptos fundamentales, como núcleo e imagen de una transformación lineal así como unos ejemplos de como se emplea cada uno de estos temas ya sea el núcleo o la imagen.
Este tema puede ser un poco complicado pero a medida que vayas indagando sobre este tema en este foro te darás cuenta que solo tenemos que aplicar las formulas y te serán mas sencillas de analizarlas y resolver los problemas que te plantee el profesor solo es cuestión que como aplicar la formula con los problemas.
En matemáticas una aplicación lineal, es una aplicación entre dos espacios vectoriales, que preserva las operaciones de adición de vectores y multiplicación por un escalar.
Se denomina aplicación lineal, función lineal, transformación lineal, u operador lineal a toda aplicación cuyo dominio y codominio sean espacios vectoriales, tal que satisfaga la siguiente definición:
- Sean y espacios vectoriales sobre el mismo cuerpo . Una aplicación de en , es decir, , es una transformación lineal si para todo par de vectores y para todo escalar , se satisface que:
- .
- Al cumplimiento de las ecuaciones anteriores, se le conoce como "principio de superposición".
Definición:
Núcleo e imagen de una transformación lineal: Sean V y W dos espacios vectoriales y sea T:V W una transformación lineal. Entonces:
1. El núcleo de T, denotado por un, está dado por
2. La imagen de T, denotado por Im T, esta dado por
Observación 1. Observe que un T es no vacío porque, de acuerdo al
teorema 1, T(0) = 0 de manera que 0 ϵ un T para
cualquier transformación lineal T. Se
tiene interés en encontrar otros vectores en V
que “se transformen en 0”. De nuevo, observe que cuando escribimos T(0) = 0, el 0 de
la izquierda está en V y el de la derecha en W.
Observación 2. La imagen de T es simplemente el conjunto de
“imágenes” de los vectores en V bajo la transformación T. De hecho, si w = Tv,
se dice que w es la imagen de v bajo T.
Teorema 1
Sea T: V S W una transformación lineal. Entonces para todos los vectores u, v, v1, v2, . . . , vn en V y todos los escalares a1, a2, . . . , an:
- T(0) = 0
- T(u - v) = Tu - Tv
- T(a1v1 + a2v2 +. . .+ anvn) = a1Tv1 + a2Tv2 +. . .+ anTvn
Nota. En la parte l) el 0 de la izquierda es el vector cero en V; mientras que el 0 de la derecha es el vector cero en W.
Teorema 2
Sea v un espacio vectorial de dimensión finita con base B= {v1,v2,….vn}. Sean w1,w2,….wn vectores en W. Suponga que T1 y T2 son dos transformaciones lineales de V en W tales que T1vi = T2vi = wi para i = 1, 2,…,n. Entonces para cualquier vector v ϵ v, T 1v = T2v; es decir T1 = T2.
Como B es una base para V, existe un conjunto único de escalares α1, α2,…., αn. Tales que v = α1v1 + α2v2 + …+ αn vn.
Entonces, del inciso iii) del teorema 1, T1v = T1(α1 v1 + α2v2 + …+ αnvn) = α1T2v1 + α2T2v2 +… + αnTnvn= α1w1 + α2w2 +…+ αnTnvn.
De manera similar T2v = T2(α1v1 + α2v2 + …+ αnvn) = α1T2v1 + α2T2v2 +…+ αnTnvn = α1w1 + α2w2 +…+ αnvn Por lo tanto, T1v =T2v.
El teorema 2 indica que si T:v W y V tiene dimensión finita, entonces sólo es necesario conocer el efecto que tiene T sobre los vectores de la base en V. Esto es, si se conoce la imagen de cada vector básico, se puede determinar la imagen de cualquier vector en V. Esto determina T por completo. Para ver esto, sean v1, v2,….vn una base en V y sea v otro vector en V. Entonces, igual que en l aprueba del teorema 2, Tv = α1Tv1 + α2Tv2 +…+ αnTvn.
Así, se puede calcular Tv para cualquier vector vϵ V si se conocen Tv1,Tv2,….Tvn.
Observación 1:
Observe que un T es no vacío porque, de acuerdo al teorema 1, T(0) = 0 de manera que 0 ϵ un T para cualquier transformación lineal T. Se tiene interés en encontrar otros vectores en V que “se transformen en 0”. De nuevo, observe que cuando escribimos T(0) = 0, el 0 de la izquierda está en V y el de la derecha en W.
Observación 2:
La imagen de T es simplemente el conjunto de “imágenes” de los vectores en V bajo la transformación T. De hecho, si w = Tv, se dice que w es la imagen de v bajo T.
Ejemplo 1
Si se conoce el efecto de una transformación lineal sobre los vectores de la base, se conoce el efecto sobre cualquier otro vector. Sea T una transformación lineal de R3 en R2 y suponga que
Solución. Se tiene
Entonces
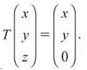
Ejemplo 2 núcleo e imagen de un operador de proyección
Sea T:R3 R3 definida por
Entonces x = y = 0. Así, nu T = {(x,y,z):x = y = 0, zϵR}, es decir, el eje z, e Im T = {(x,y,z): z = 0}, es decir el plano xy. Observe que dim un T = 1 y dim Im T = 2.





¿Si el núcleo es homogéneo, es compatible?
ResponderBorrarSi por que como el sistema matricial queda homegeneo pues justamente como esta planteada la definicion del nucleo, el nucleo nunca va a hacer vacio porque porque el sistema siempre es compatible
BorrarRespecto a la imagen, ¿cómo sabemos si es base o no?
ResponderBorrarBueno pues se rige respecto a la base lineal de los vectores
BorrarEn cuestión sobre la imagen de T, ¿Es simplemente un conjunto de imágenes?
ResponderBorrarSi, porque ya que es el conjunto de imagenes de los vectores V bajo la transformacion. Espero y haya respondido a tu pregunta amigo
BorrarRespecto al teorema 2 que pasa si tiene una dimensión finita?
ResponderBorrarSolo es cuestion de conocer los efectos que tienen T sobre los vectores de la base V
BorrarMe podrias decir como se llama el vector que pertenece al nucleo?
ResponderBorrarCon gusto, si un vector pertenece al núcleo se transforma en un vector nulo, espero y haya respondido a tu pregunta.
BorrarPara sacar el núcleo y la imagen que se necesita?
ResponderBorrarSe necesita sus vectores y las formulas que en este caso están al principio del este apartado y formar una matriz y resolver su matriz con el método de gauss.
Borrar